Rangkuman Stoikiometri Kimia - Pada kesempatan kali ini kami akan membahas seputar stoikiometri. Kami sudah membuatkan rangkuman stoikiometri kelas 10. Untuk kalian yang mencari rangkuman materi ini silahkan simak artikel ini. Berikut adalah rangkuman dari kimia kelas x bab stoikiometri :
![]() |
| rangkuman materi stokiometri kelas x |
Isotop
Isotop adalah atom-atom yang memiliki noomor atom sama tetapi nomor massa berbeda.
Contoh:
![]() |
| rangkuman stokiometri isotop |
Isobar
Isobar adalah atom-atom yang memiliki nomor atom berbeda tetapi memiliki nomor massa yang sama.
Contoh:
![]() |
| rangkuman stokiometri isobar |
Isoton
Isoton adalah atom-atom yang memiliki nomor atom berbeda tetapi memiliki jumlah neutron yang sama.
Contoh:
![]() |
| rangkuman stokiometri isoton |
Isodiaper
Isodiaper adalah atom-atom yang memiliki nomor atom berbeda tetapi memiliki selisih jumlah proton-neutron yang sama.
Isoelektron
Isoelektron adalah atom dan ion yang memiliki jumlah electron yang sama.
Contoh:
| rangkuman stokiometri isoelektron |
Kegunaan isotop dalam kehidupan sehari-hari adalah untuk bidang kesehatan isotop digunakan sebagai perunut (tracer) untuk mendeteksi kerusakan yang terjadi pada suatu organ serta untuk membunuh sel-sel kanker. Penggunaan isotop untuk industry pengawetan makanan, sinar radiasi gamma dapat digunakan untuk membasmi mikroorganisme, menghambat pertunasan. Isotop juga digunakan untuk mendeteksi kebocoran pipa bawah tanah. Untuk mendeteksi kebocoran pada pipa air, garam yang mengandung radio isotop Na-24 dilarutkan ke dalam air, kemudian permukaan tanah di atas pipa air diperiksa menggunakan Geiger counter. Intensitas radiasi yang berlebihan menunjukkan adanya kebocoran. Radioisotope juga dimanfaat sebagai sumber tenaga listrik PLTN.
Baca Juga Materi : Teori Atom Mekanika Kuantum
Massa sebuah atom suatu unsure merupaan rata-rata massa isotop yang dimiliki unsure tersebut dengan satuan sma(satuan massa atom), 1 sma setara dengan 1,66×〖10〗^(-24) gram.
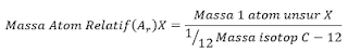
Massa atom relatif A_r merupakan angka banding massa sebuah atom suatu unsur terhadap massa sebuah atom isotop standar.
| mencari massa atom relatif |
Massa molekul relatif M_r suatu senyawa adalah perbandingan massa sebuah molekul suatu senyawa terhadap 1⁄12 massa sebuah atom isotop C-12
| mencari massa molekul relatif |
Massa molar suatu materi adalah massa satu mol materi dalam satuan gram sesuai A_r atau M_r materi. Massa molar memiliki satuan gram/mol. Contoh: H_2 O memiliki M_r = 18, maka massa molar H_2 O 18 gr/mol.
Berdasarkan konsep mol dan massa molar, maka hubungan antara massa suatu materi dengan jumlah partikel materi yang terkandung di dalamnya secara matematis dapat diformulasikan sebagai berikut:
| mencari jumlah molekul relatif |
Persamaan reaksi adalah bahasa ilmu kimia yang memiliki makna kualitatif dan kuantitatif. Makna kualitatif persamaan reaksi memberikan gambaran atau menjelaskan peristiwa yang terjadi jika dua pereaksi atau lebih beraksi. Makna kuantitatif persamaan reaksi menyatakan perbandingan jumlah zat yang bereaksi dan jumlah produk yang dihasilkan dari reaksi yang terjadi.
Hukum perbandingan setara
“bila suatu unsur berikatan dengan unsur lain, maka perbandingan kedua unsur tersebut adalah sebagai perbadingan massa ekivalennya atau kelipatannya”Baca Juga : Bank Soal SBMPTN Kimia - Latihan Persiapan SBMPTN 2016
Hukum penyatuan volume (Gay Lussac, 1808)
“Pada kndisi temperatur dan tekanan yang sama perbandingan volume gas-gas produk reaksi merupakan bilangan bulat dan mudah”
Hukum kekekalan massa
“pada setiap reaksi kimia, jumlah zat-zat produk reaksi sama dengan jumlah massa zat-zat yang ada sebelum reaksi (reaktan)”
Hukum perbandingan tetap
“setiap senyawa kimia selalu tersusun dari unsur-unsur dengan perbandingan tertentu dan tetap”
Hukum avogadro
“pada temperatur dan tekanan yang sama, setiap gas, jika volumenya sama, maka memiliki jumlah mol yang sama atau jumlah molekul yang sama”
Demikian adalah rangkuman materi stoikiometri. Semoga artikel diatas dapat bermanfaat untuk temen-temen. Apabila kalian mempunyai pertanyaan dan ingin request atau membagikan materi kalian di blog ini, kami akan sangat senang hati. Sekian dari kami dan terima kasih.



